Contents >> Applied Mathematics >> Mathematical Statistics >> Treatment of Experiment Results >> Example

Treatment of experiment results - Example

Example

By means of a method of the least squares to pick up the 2-nd degree polynomial for the results of measurements of values of function y presented by the table at equidistant values of argument х :

х

у

0.1

1.316

0.2

1.633

0.3

1.976

0.4

2.378

0.5

2.723

0.6

3.201

0.7

3.572

0.8

4.051

0.9

4.500

S o l u t i o n .  As is known, a general view of the 2-nd degree polynomial: Let's make system of Gauss’ normal equations:

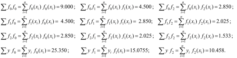
Coefficients of system of these equations according to data of the table are equal to:

After substitution of numerical values of coefficients the system of Gauss’normal equations becomes:

Its solution: Thus, the 2-nd degree required polynomial:


< Previous Contents Next >