Contents >> Applied Mathematics >> Mathematical Statistics >> Treatment of Experiment Results >> Alignment of statistical distributions. Pearson’s curves

Treatment of Experiment Results - Alignment of statistical distributions. Pearson's curves

Alignment of statistical distributions. Pearson’s curves

For alignment (approximation) of statistical distributions the set of various methods is used: polynomial approximation, Charlie’s series, Kramer's perturbation polynomials, Pearson’s method etc. The basic lack of polynomial approximation is formality of received distributions – the type of approximation is not connected with the nature of the random phenomenon. Charlie’s and Kramer’s methods are suitable to approximation of the distributions approached to normal. Unlike them Pearson’s method is universal enough and covers practically all known kinds of statistical distributions.

Pearson [1, 2] has suggested to use for the description of statistical distribution of random variable X solutions of the differential equation:

(1)

where as origin of counting х its average value serves, М – mode.

Coefficients in the equation (1) can be calculated by means of the central moments .

At introduction of designations they are from parities:

(2)

Let's enter auxiliary value:

(3)

Then the system of equations (2) can be written in the form of:

(2 а )

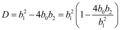
Let's calculate a discriminant of denominator in the equation (1):

.

Let's designate

(4)

Then

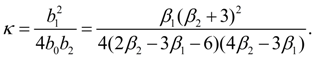
The general integral of the equation (1) essentially depends on a kind of roots of a quadratic equation also it is defined by criterion κ («Pearson’s kappa»):

1.  At real roots of various signs.

2.  At complex roots.

3.  At real roots of the same sign.

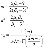
To each of these cases there corresponds one of the basic types of Pearson’s curves – I, IV and VI. Other nine types and normal distribution curve – their private or boundary cases. Most often in an expert there are first seven types of Pearson’s curves. On Fig. 1 the graph for definition of type of a curve on parameters [1, 2] is resulted.

Fig. 1. The graph for definition of Pearson’s curve type depending on

Let's consider the equations of Pearson’s curves of I – VII types and ways of definition of parameters entering into them [1, 2].

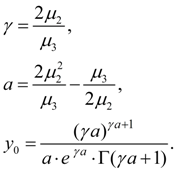
The curve of I type corresponds κ < 0; its equation looks like:

(5)

Exponents roots of the equation

(6)

and at we undertake , and at – on the contrary.

Coefficients are defined from formulas:

(7)

where

Initial ordinate

(8)

Here Г (z) – gamma-function :

(9)

Domain of curve of I type is the interval: , coefficients are positive, more  than – 1.

Fig. 2. Pearson’s curves of I type

Depending on values three versions of curve of I type are distinguished (Fig. 2):

1. At its ordinates are limited (Fig. 2, a, b, c, d ).

2. In case of different signs values of density function on one of the interval ends aspire to infinity (J-shaped curves, Fig. 2, e, f, g, h ).

3. At distribution becomes antimodal (U-shaped) – Fig. 2 i .

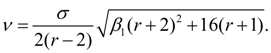
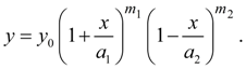
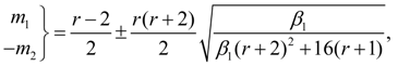
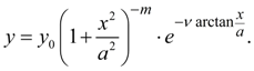
The curve of IV type corresponds and is described by the equation:

(10)

where

(11)

The sign of ν gets out opposite to a sign of . Initial ordinate

(12)

а nd – tabulated function.

Origin of coordinates undertakes in a point (here – mathematical expectation of random variable X ). The curve of IV type is asymmetric (Fig. 3), lying on an infinite interval . A mode of this distribution

Ris3_Pearson.gif

Fig. 3. Pearson’s curve of IV type

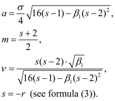
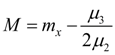
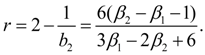
The curve of VI type corresponds κ > 1 and is described by the equation:

(13)

Here

(14)

(15)

And the condition should be satisfied.

Origin of coordinates undertakes in a point and initial ordinate

(16)

The curve lies on an interval from а up to +∞ at and from –∞ up to а at . Possible variants of the curve of VI type at are presented on Fig. 4.

Ris4_Pearson.gif

Fig. 4. Pearson’s curves of VI type

The following group of Pearson’s curves corresponds to private values of criterion κ .

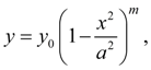
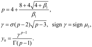
The curve of III type takes place at and is described by the equation:

(17)

and х varies from – а up to +∞. The form of a curve – the same, as on Fig. 4 for the curve of VI type with replacement т 1 on and а on – а . Parameters of the curve are defined from formulas:

(18)

Mode exists at

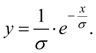
Special case of Pearson’s curve of III type at is curve of X type – an exponent:

(19)

Origin of coordinates – in a point .

Curve of V type corresponds κ = 1. Its equation looks like:

(20)

Here

(21)

Function y = f ( x ) exists at all х > 0. Origin of coordinates – in a point General view of the curve is presented on Fig. 5.

Ris5_Pearson.gif

Fig. 5. Pearson’s curve of V type

At κ = 0 depending on value curves of II or VII type or normal distribution turn out.

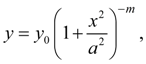
The curve of II type turns out at and is described by the equation:

(22)

where

(23)

Coefficient Origin of coordinates corresponds to average value of statistical distribution. The curve of II type is symmetric relatively origin of coordinates and exists for At the distribution becomes antimodal (U-shaped).

The curve of VII type corresponds and is described by the equation:

(24)

where

(25)

Coefficient Origin of coordinates corresponds to average value of a random variable.

The curve of VII type is symmetric relatively origin of coordinates.

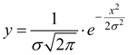
The curve of normal distribution

(26)

turns out at and Origin of coordinates corresponds to observed average value. The basic properties of normal distribution are well-known.


< Previous Contents Next >