Contents >> Engineering Mathematics >> Hydro Mechanical Drives and Transmissions >> Dynamic Analysis >> Library of base elements and mathematical models

Dynamic analysis of mechanical transmissions - Library of base elements and math models

Library of base elements and their mathematical models

The kind of base elements equations always depends on the assumptions accepted at the solution of the specific problems. As in the given case methods of computer-aided dynamic calculation are considered, described by two basic features: automatic forming of mathematical model by a choice of the necessary equations from the general library of mathematical models and construction on a basis of it general using programs applied to drives of arbitrary kind, it was necessary to choose from the big number of base elements models the most common available models, comprehensible to the solution as more as possible the broad field of problems. As a result for the description of base elements of mechanical and hydro mechanical transfers the resulted below mathematical models have been accepted in which following designations are used: v – linear speed; – angular speed; z – linear movement; – turn angle; R – force; M – torque moment. Indexation of variables is made by numbers of nodes in which the given variable (Fig. 1) operates.

The resulted below library of equations of typical elements basically can suppose their various mathematical description at condition of preservation of the concept of a three-node element.

Characteristics of elements of mechanical and hydro mechanical drives resulted on Fig. 3, are approximated by a final set of points , where х – argument, y – function, and are given in the tabular form. To receive a current value of у ( х ) the method of linear interpolation is used.

Fig. 3. Characteristics of base elements of mechanical and hydro mechanical transfers:

a – diesel; b – frictional clutch; c – hydraulic torque converter; d – hydro dynamic clutch; e – wheel (slipping curve).

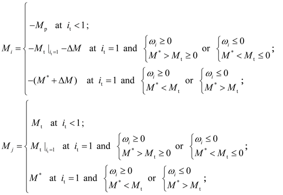
Diesel engine with a centrifugal regulator. The diesel engine with a centrifugal regulator is described by system of equations of the shaft moments (node j ) and the regulator muff movement (node k ) [1, 2]:

(9)

where – the diesel engine characteristic at the minimal fuel feed in view of a brake branch, approximated by a final set of points – an increment of the torque moment at the maximal fuel feed; + – the diesel engine external characteristic at maximal fuel consumption in view of a brake branch (Fig. 3 a ); – constant adjustments of a diesel engine regulator; – a coefficient of viscous friction in a diesel engine regulator; – a regulator drive transfer ratio ; с , F – a rigidity and a force of preliminary compression of a spring; – a maximal movement of regulator muff.

At simulation of transient processes often it is necessary to pass in area of partial (regulator) characteristics of a diesel engine that in real conditions is provided with change of F – force of preliminary compression of the spring adjustable by the driver by means of a control lever. Generally value of F varies from 0 up to a maximum :

(10)

where a function of regulation of force of preliminary compression of a spring,

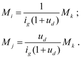
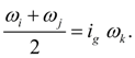
Gear. In a gear (Fig. 1) a constancy of transfer ratios in nodes i , j , k , takes place, i.e.

(11)

where transfer ratios of a gear branches .

Let efficiencies of a gear in branches ; then a friction total losses in a gear, reduced to node i , are possible to define as

(12)

where absolute values of nominal moments transferred accordingly in branches (in nodes j and k ).

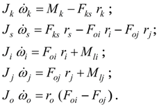
Elastic shaft. A torque moment developed due to elastic angular deformation, depending also from damping properties of a shaft and enclosed in nose j (Fig. 1), is equal to:

(13)

where c – a shaft angular rigidity; h – coefficient of viscous friction; a shaft torque angle, defined by the equation:

(14)

The moment of an opposite sign operates in node i :

Frictional clutch. The moment developed by a frictional clutch and enclosed in node j (Fig. 1), is equal [1, 2] to:

(15)

where a constructive constant of frictional clutch; pressure in the mechanism of pressing of frictional pair in function of time; a coefficient of friction in function of the module of relative angular speed (Fig. 3 b ); the moment developed by frictional clutch at blocking (in detail blocking mode see in the section «Blocking of frictional clutches and hydraulic torque converters» ).

The moment of an opposite sign operates in node i :

Hydraulic torque converter. The moments developed on pump ( ) and turbine ( ) wheels of the hydraulic torque converter [1, 2]:

(16)

and besides

Here D - active diameter of work wheels of hydraulic torque converter, characteristics of hydraulic torque converter; (Fig. 3 c ); angular speeds of pump (node i ) and turbine (node j ) wheels of hydraulic torque converter.

Coefficient of transformation by definition is equal to:

(17)

Then

(18)

If hydraulic torque converter is executed structurally with overtaking clutch, then in blocking mode of pump (node i ) and turbine (node j ) wheels (in detail blocking mode see in the section «Blocking of frictional clutches and hydraulic torque converters» ) we’ll receive:

(19)

where the turbine wheel moment, defined from blocking equations (see here );

the reactor blades loss moment :

If pump and turbine wheels of hydraulic torque converter are blocked by a friction clutch, then in blocking mode pump (node i ) and turbine (node j ) wheels (in detail blocking mode see in the section «Blocking of frictional clutches and hydraulic torque converters» ) we’ll receive:

(20)

where a frictional clutch moment:

,      (21)

and at equality of angular speeds

(22)

Hydro Dynamical Clutch . A moment, realized by hydro dynamical clutch:

(23)

where D - active diameter of work wheels of hydraulic dynamical clutch, characteristic of hydro dynamical clutch in function of (Fig. 3 d ).

As at , then a blocking mode in hydro dynamical clutch is not present, as at equality of angular speeds the moment developed by hydro dynamical clutch, is equal to zero.

Wheel (wheel mover). For carrying out of tractive-dynamic calculations of hydro mechanical transmissions of self-propelled wheel machines it is necessary to consider as one of base elements a wheel (wheel mover) – Fig. 1. On the scheme indexes i , j , k designate accordingly nodes of an input i (a power shaft of a wheel), an output j (a point of contact of a wheel with road) and machine movement k .

Fig. 4. To a conclusion of equations of a wheel dynamics.

In view of the accepted assumptions mathematical model of a wheel (wheel mover) dynamics, Fig. 4, looks like [1, 2]:

(24)

where т – machine mass; a circle force in node j (Fig. 4) on the n -th wheel (on wheels of the n -th axis); W – a summer force of resistance to machine moving; speed and moving of the machine; reduced moment of inertia of rotating masses of the n -th axis; М n – an active moment of the n -th axis; dynamical radius of the n -th wheel (wheels of the n -th axis); braking moment on the n -th axis shaft, enclosed in input node; N – number of driving wheels (axes).

In the settled mode a circle force R on a wheel is connected with relative slipping by the following dependence [1, 4]:

(25)

where

(26)

Here ω – an angular speed of wheel; v – a speed of progressive machine moving (node k , Fig. 1).

The value of dynamic radius of wheel r depends on a static deflection of wheel under loading and dynamic change of a deflection of a wheel y ( t ), depending on the weight falling an axis, rigidity and tires damping, roughnesses of a road profile. In our case it is possible to consider y ( t ) as external influence. Then

(27)

where – a free radius of wheel; a part of the machine weight falling an axis; a radial rigidity of tire.

In the unsteady mode dependence (25), having a static character, should be replaced by dynamic model. For this purpose we’ll take advantage offered in of [3] technique, according to which a circle force R on a wheel is a function of longitudinal deformation of the tire (Fig. 4 c ), and also of compression of running against fibers. After some transformations [2] we’ll receive finally the dynamic model of a circle force R on a wheel:

(28)

In the settled mode and then

(29)

i.e. in the settled modea function of slipping is equal to relative slipping of a wheel [compare the equations (28) – (29) with the equations (25) – (26)].

Thus, the mathematical model of a wheel (wheel mover) consists of the equations (24) and (28).

Differential. The differential is one of elements dividing the drive scheme on sites for which nodes i and j of differential axes are either initial (at a branching of a power stream), or final (at summation of a power streams) – Fig. 5.

Ris5_DRIVE.gif

Fig. 5. The kinematic scheme of differential.

Angular speeds of differential axes are connected with an entrance shaft speed by following kinematic dependence:

(30)

whence

(31)

where a transfer number of differential, a transfer ratio of a gear between an entrance shaft and driver.

For symmetric differential , and then

(32)

Torque moments in nodes i , j , k (Fig. 5) are connected by relations:

(33)

Then, knowing the moment , it is easy to define moments in nodes of differential axes . On the other hand, integrating equations of dynamics of differential axes (2), we’ll receive , whence, using the equation (31), we’ll define . Hence, it is necessary to define value for what it is expediently to consider always an entrance shaft of differential as elastic .

It means, that the node k cannot be carried to any site that is considered in algorithm of the structural analysis as a result of which nodes i and j are either initial (if in the scheme there are elements which first nodes coincide with nodes i and j of differential), or final (if in the scheme there are elements which second nodes coincide with nodes i and j of differential), and the node k is not included into one of sites and necessarily is a node of an elastic shaft . It does not limit a generality of the problem solution, but allows to receive rather easily values interesting us.

Let's write down the equations of dynamics of differential axes in view of its geometry, kinematics and operating forces and moments (Fig. 5).

Input preconditions and the basic idea of a conclusion of these equations belong to Dr. L.B.Zaretsky. We’ll enter a number of additional designations: tangential forces of interaction in gearings an entrance gear and differential; radiuses of gearings of cogwheels of the gear and differential; own moments of inertia of cogwheels of the gear and differential; the moments of loading reduced to nodes i and j of differential axes. Then dynamics of differential can be described by the following system of equations:

(34)

Considering, that , and also including small enough , after of some simple algebraic transformations, having excluded we’ll finally receive:

(35)

Thus, the mathematical model of differential consists of the equations (31), (33) and (35).


< Previous Contents Next >